
在航空航天、生物医疗等领域,形状记忆合金(SMA)因其独特的形状记忆效应和超弹性而备受青睐。其中,近等原子比的镍钛(NiTi)合金是最为重要的成员。然而,如何通过先进的制造技术,尤其是近年兴起的激光粉末床熔化(LPBF,即金属3D打印),来精确控制其核心功能特性——马氏体相变温度(MTT),一直是业界面临的巨大挑战。
传统LPBF工艺优化主要聚焦于消除孔洞、裂纹等缺陷,以获得高致密度的零件。但研究者们发现,即使使用不同工艺参数打印出同样致密的NiTi合金,其相变温度也可能相差超过50°C,导致力学性能和形状记忆功能发生显著变化,这使得精确的性能控制异常困难。
最近,中南大学研究团队一项发表在《International Journal of Machine Tools and Manufacture》上的突破性研究,成功将LPBF工艺优化的范式从“消除缺陷”转向“精确性能控制”,为高性能NiTi合金的定制化制造提供了全新的通用路线图。
论文链接:
https://doi.org/10.1016/j.ijmachtools.2025.104352
论文的通讯作者为中南大学李瑞迪教授,第一作者为博士生郑聃。
在LPBF过程中,工艺参数如激光功率(P)、扫描速度(v)、扫描间距(h)等共同决定了输入到材料中的能量。传统上,常用体能量密度(Ev = P/(v·h·t))或线能量密度(El = P/v)来评估工艺窗口和致密化行为。
然而,工程实践的一个典型痛点是:同一粉末、同一设备、相对致密(接近100%)的样品,其马氏体相变温度Ms能相差几十K,屈服强度和超弹性也差异显著。
传统LPBF 工艺优化主要以“无气孔、无裂纹”为目标,更多是合格/不合格的判据,而不是按需求定制相变温度和力学性能。
本工作要解决的核心问题是:在零件致密的前提下,能否建立一套参数–熔池–组织–性能的可预测关系,实现从“消缺陷”向“控性能”的范式转换?
图1:相同线能量密度(El)下,不同激光功率(P)和扫描间距(h)组合对马氏体开始温度(Ms)的影响。
这表明,仅用能量密度的“总量”已无法解释和调控性能的细微差别,工艺参数的影响机制远比想象中复杂。
一个简单而普适的新定律—El/v
经过系统性实验和理论分析,研究团队揭示了背后的关键机制:合金元素的挥发(尤其是Ni)和熔池动态行为,是造成相变温度波动的根本原因。
他们创新性地提出了一个简单的参量——归一化能量输入率(El/v),成功地将工艺参数与熔池动力学、元素挥发以及最终的微观组织、相变行为联系起来。
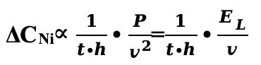
核心公式:
其中,ΔCNi是Ni元素的损失量。
这个公式意味着:
1.Ni的挥发损失及由此引起的Ms温度变化,主要由El/v决定,而不仅仅是El或Ev。
2.在特定的El/v范围内(225–500 J·s·m⁻²),Ms温度与El/v呈良好的线性关系,每增加1 kJ·s·m⁻²,Ms温度约上升83 K,Ni损失约0.67 at.%。
3.当El/v过低(< 225 J·s·m⁻²)时,能量输入主要用于熔合,挥发弱且熔池动力学不足,导致组织不均匀,Ms与El/v关系失准。
4.当El/v过高(> 500 J·s·m⁻²)时,熔池进入匙孔模式且不稳定,挥发剧烈且不可预测,同时可能引发不利析出,Ms与El/v的线性关系再次被打破。
图2:Ms温度与归一化能量输入率(El/v)的关系呈现典型的S型曲线,中间线性区域为性能可精确调控的区域。
基于上述发现,研究提出了LPBF工艺参数设计的双重准则(图3):
1.能量输入的“量”(El):控制熔池的几何形态(大小、深宽比)和致密化行为,确保打印件无缺陷(如未熔合、小孔)。
2.能量输入的“率”(El/v):控制熔池的动力学行为(挥发、对流、稳定性)和功能组织形成,最终决定材料的微观结构和相变性能。
这一双重准则完美解释了为何在相同El下,不同P/v组合会得到不同性能的零件,并为实现性能的精确预测和控制提供了理论工具。
图3:LPBF参数设计的双重准则示意图。El决定熔池几何与致密度,El/v决定熔池动力学与微观组织。
应用该优化路线图,团队成功打印出了性能卓越的NiTi合金:
超高延展性:最优工艺窗口内的样品拉伸断裂延伸率可达~22%,超过了大多数已报道的LPBF打印富镍NiTi合金,达到了传统加工方法的水平。
性能可定制:通过调节工艺参数(在El/v的线性敏感区内),可以精确地“定制”合金的相变温度,满足不同应用场景的需求。
普适性验证:该El/v定律不仅在NiTi合金中成立,在CuAlMn形状记忆合金和304L不锈钢的打印中也得到了验证,显示出其作为通用工艺指导原则的强大潜力。
图4:在不同工艺区域(A, B, C)打印的NiTi样品表现出截然不同的拉伸性能和超弹性行为。区域B(最优窗口)的样品实现了强度与塑性的最佳结合。
开启“性能导向”的增材制造新时代
这项研究的意义在于实现了几个关键转变:
从“缺陷消除”到“性能控制”:将工艺优化的目标从确保几何完整性,提升到精确调控材料内在功能属性。
从“经验试错”到“机理预测”:通过建立El/v与熔池动力学、元素挥发的定量关系,为工艺参数选择提供了清晰的理论依据和预测模型。
从“个案优化”到“普适路线”:提出的双重准则和El/v定律具有普适性,可推广至其他合金体系的LPBF工艺开发,大大减少实验摸索的成本和时间。
这项研究不仅为高性能NiTi形状记忆合金的增材制造提供了切实可行的工艺蓝图,更在更广泛的层面上,为所有追求“性能定制化”的金属增材制造技术指明了新的发展方向——通过主动管理熔池动力学,来实现对材料微观结构和最终性能的精确掌控。
未来,结合机器学习等先进手段,这一框架有望进一步发展为智能化的工艺设计和在线监控系统,推动增材制造技术在高端功能部件制造中发挥更大的作用。
l 谷专栏 l
欢迎高校及科研机构、企业科学家加入谷专栏,与业界分享对推动增材制造发展起关键作用的共性基础科研与应用成果,欢迎扫描下方图片二维码提交您的信息。
白皮书下载 l 加入 QQ群:106477771
网站投稿 l 发送至2509957133@qq.com
欢迎转载 l 转载请注明来源









